万象城awcsport官网
首页
学院概况
学院简介
学院领导
办事指南
组织机构
人才队伍
杰出校友
科学研究
研究方向
学术平台
科研成果
本科教学
专业介绍
教学资源
教学名师
学科竞赛
研究生培养
招生学科
导师主页
学术交流
教育教学成果
人才培养
本科生
研究生
创新创业
国际交流
党建工作
组织架构
党建动态
学习园地
常用下载
通知公告
就业招聘
下载专区
English
党建工作
组织架构
组织架构
人员信息
党建动态
学习园地
常用下载
当前位置:
首页
>
党建工作
>
组织架构
>
人员信息
人员信息
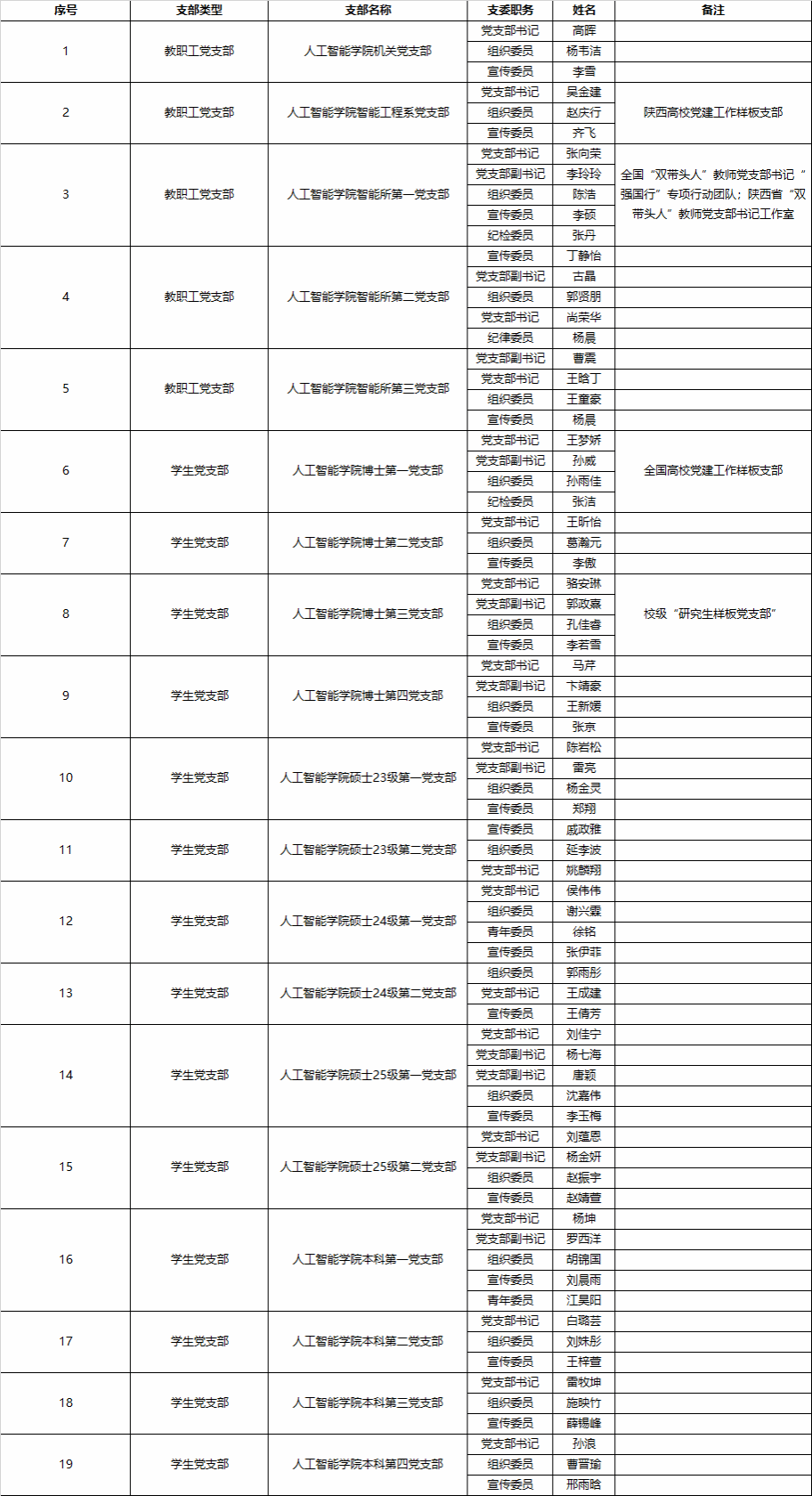
万象城awcsport官网各支部委员会人员名单